时间:2010-10-11更新时间:2010-10-11
如果您想了解我们的产品,可以随时拨打我公司的销售热线或点击下方按钮在线咨询价格!
立即拨打电话享更多优惠:0371-67772626
图1中表示抛落运动状态下钢球的运动轨迹。钢球从落回点B随筒体一起作圆运动上升到脱离点A,然后从A点作抛落运动落回到点B,完成一个运动周期。

图 1
![]()

钢球落到落回点B时,其速度vp可分解为从磨机中心到落回点B方向的法向分速度vn及与筒体圆周相切的切向速度v1。法向速度vn用于冲击矿块,切向速度v1沿筒壁切线方向对矿块或矿粒产生磨剥作用。这里主要考虑钢球对矿块的冲击作用,故未考虑v1。根据戴维斯及列文松等人的理论,vn为:
![]()

式中 R1———磨机的内半径。
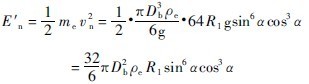
于是,具有有效质量me,及法向速度vn的钢球落到落回点时具有的法向动能En为:

又因D=2R1,故上式为:
![]()
前面考虑的是处于R1位置的外层球上的钢球。但外层球工作有利并不意味整个球荷工作都有利。现假设全部球荷质量集中在某一层球上,这层球称“中间缩聚层”,此层球的球层直径为D0。根据扇形对O点的极转动惯量半径的求法可得:
![]()
式中 R1、R2—外层和内层球的球层半径。k=R2/R1,k与转速率
和装球率
有关,k可直接由表3-5-3中查取。又D0=2R0,则“中间缩聚层”上的一个球落到落回点衬板上的法向冲击动能En为:
![]()
