时间:2010-10-05更新时间:2010-10-05
如果您想了解我们的产品,可以随时拨打我公司的销售热线或点击下方按钮在线咨询价格!
立即拨打电话享更多优惠:0371-67772626
磨机中的球荷由若干层球组成,每一层球都有一个脱离点Ai和一个落回点Bi。每一层球的Ai点的坐标各不相同,但它们既然都是脱离点,就都具有相同的几何条件。同样,各落回点Bi的坐标尽管也不相同,但也都符合同一个几何条件。找出这两种几何条件,就找出了这两种转折点的连线,即脱离点与落回点的轨迹。由公式可知
![]()
此处a=
,当n为已给定时,a 为常数。公式(2-17)是以磨机中心O为极点,坐标轴OY为极轴的圆曲线方程,此圆的半径为
。由于每一层球皆有一脱离角ai与球层半径Ri,并且符合上述关系,因此诸Ai皆在以O1为圆心及O1O=
为半径的圆上。这个圆就是各脱离点Ai的轨迹,见图2-8。落回点Bi到磨机中心的距离为Ri,与极轴OY之间的极角由公式可知为
点Bi也在圆运动轨迹上,它也遵从公式,于是照样有极坐标方程式
当
时,R=0,此方程式表示的曲线(即巴斯赫利螺线)将通过磨机中心(即极点)O。公式代表的曲线就是诸落回点Bi的轨迹。

来看,以
时R 的水平投影XB为极小值。由引可见,对目前所论述的问题说,这两个极限值只
有意义,它是与小球层半径R小相对应的大脱离角a大。于是,判断球层保持明显的圆运动和抛物线运动的极限状态的两个相关连的指标是 
每一层球有一球层半径和相应的脱离角,它们的关系符合公式(2-17)。设外层球的半径为R1,脱离角为a1,内层球的半径为R2,脱离角为a2,在磨机的每分钟转数为n 时,根据公式(2-17),必有下述关系

此处的K为内层球半径与外层球半径之比,或内层球的与外层球的脱离角的余弦之比。当外层球的半径被看作即磨机的半径时,它就是内层球的半径与磨机内半径之比。显然,K标志装球率,因为装球愈多,R2愈小,K 值也就较小。由公式可知

这两个公式指出:外层球的脱离角仅与转速率有关,而内层球的脱离角,即与转速率又与装球率(用K标志)有关。根据上面讲的情况可知,为了保证内层球也能处于抛落状态(即所有球层都是抛落的),装球率与转速率必有一确定关系。而且这种关系又必有临界点,过了这种临界点,磨机的转速不足以使晕内层球作抛落,钢球于是处于泻落状态。这里将用计算结果
绘制的曲线表示如下图。图中表明了装球率、转速率和球层半径的关系,也表明了由这种关系所确定的泻落和抛落的界限。

但钢球直接打衬板会造成严重磨损,磨矿效果也差。磨机内的分区不仅如此明显,而且能定量地计算出它们的范围,下面讲的球荷切面积可作说明。
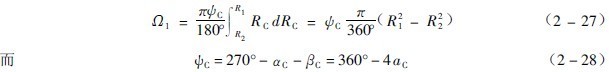
磨机转动时,其中有球的空间,一部分分布着作圆运动的球,另一部分分布着作抛物线落下的球。取与磨机长轴垂直的切面来看,全部运动着的球所占的面积为
,而作圆运动部分的球所占的面积为
1,作抛物线运动的球所占的面积为
2,则
在动态下的装球率为
任取一层球,它的球层半径为Rc,脱离角为ac,落下角为
,此球层所对的圆心角为
,由图3-2-10 可以看出,
,在R2与R1范围内积分上式,得到

在
及
1求出之后,
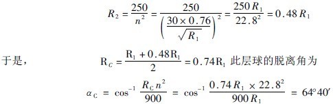
2也就可以算出。例如,某磨矿机的内半径为R,转速率为76%,适宜的装球率为40%,求它的球荷切面积
,
1和
2。根据公式2-26,
=
。如果取位居中间的那层球来计算,
。内层球能作抛物落下的极限条件,由公式(2-26)可知为:

此层球的落回角为
此层球所对的圆心角为:

因此,在总球荷面积中,圆运动部分占62.5%
,抛物线运动部分占37.5%。显然可知,装球太少,
就很小,磨机内起磨矿作用的部分不多。装球尽管适宜,但转速过低,几乎没有
2,成为泻落状态,磨剥作用比冲击作用占优势。只有装球率和转速率都适合,才能保证发生抛落状态,并有较大的
2,使冲击作用较为充足。