时间:2010-10-09更新时间:2010-10-09
如果您想了解我们的产品,可以随时拨打我公司的销售热线或点击下方按钮在线咨询价格!
立即拨打电话享更多优惠:0371-67772626
粒群在介质中沉降时,若容积浓度小于和等于0.03或3%,颗粒受到的干涉作用很小,可忽略不计,此时的沉降视为自由沉降。容积浓度大于0.03时的沉降为干涉沉降,且浓度越大,干涉作用越强。
颗粒在静止介质中的自由沉降
A、球形颗粒
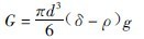
球形颗粒在静止介质中沉降时受到的重力G为:
![]()
式中:G———颗粒在介质中受到的重力,N;
d———颗粒的直径或粒度,m;
———相应为颗粒和介质的密度,kg/m3;
m———颗粒的质量,kg;
g———重力加速度,m/g2 ;
g0———颗粒在介质中的重力加速度![]()
球形颗粒沉降时受到的介质阻力R为:

式中:R——介质阻力,N;
———阻力系数,无因次;
v———颗粒的沉降速度或颗粒相对于介质的运动速度,m/s;
Re———雷诺数,无因次参数;
u———介质的粘度或动力粘度,Pa.s。
公式(4-3)称为介质阻力通式,但由公式(4-4)先求出
值,才能解出R。里莱(L.Rayleigh)用试验法作出的
=(Re)由线如图3-4-1所示。用此曲线,先按公式(4-5)算出Re值,再在图上找到与其对应的
值,代入公式(4-3)中,就可求出介质阻力R。

表3-4-1适于各Re范围的介质阻力公式

表3-4-2球形颗粒自由沉降的末速度公式及其适用范围

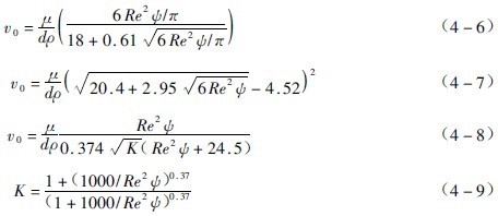
适于Re=10-3范围内求v0的通解公式,是根据Re2
=f(Re)的关系求出的。已经提出多个,下面为其中较可靠的三个:

式中,参数Re2
按下式求出:
![]()
G由(4-1)式求出:
![]()
公式(4-6)的误差不超过
,公式(4-7)的误差不超过9%,公式(4-8)的误差则较大述二式小些,但计算较复杂。
B、矿粒
矿粒的形状是多种多样的。衡量矿粒的形状,除根据外形作粗略估计外,常用与矿粒同体积球体的表面积A0与矿粒表面积Am之比值来表示,称之为矿粒的球形系数w,即
![]()
某些形状颗粒的球形系数见表3-4-3。
表3-4-3矿粒的球形系数

矿粒的粒度,理论上多以同体积球体之直径来表示,即
![]()
式中:dv———矿粒的体积当量直径,m;
V ———矿粒的体积,m3。
另一种表示方法是用与矿粒等表面积的球体之直径表示,即
![]()
式中:da——表面积当量直径;
A——矿粒的表面积,m2。
事实上,矿粒的粒度常用筛析、水析和显微镜法来测定。但这几种方法测出的粒度上述的dv和da,相互之间很难作出精确的换算。矿粒在介质中受到的重力G写成为:
![]()
矿粒在介质中沉降时受到的介质阻力,因受形状和运动时取向变化的影响,过程中是变化不定的。故所讨论的介质阻力以平均值计。介质阻力也可通过作出
=f(Re)曲线来求出。但矿粒形状不规则,只能采用有代表性的几种形状矿粒,或者用规则形状的颗粒来进行沉降试验,作出曲线。图3-4-2是希尔列尔等人绘出的球体、六八面体、八面体、立方形、四面体和圆盘形颗粒的
a=f(Rea)曲线。其中,

式中:da———颗粒的表面积当量直径;
和Rea———以da表示颗粒粒度时的阻力系数和雷诺数。

![]()

各种形状颗粒的自由沉降平均末速度vom也可用下述公式计算:
![]()
式中:pa和pn———形状修正系数,见表3-4-4,或按下式计算,

在Re=100-2000时;
式中:vom———颗粒自由沉降的平均末速度,m/s;
vo———与颗粒同体积球体自由沉降的末速度,m/s;
p———形状修正系数,见表3-4-5。
对于矿粒,应用上述公式计算,因形状不规则,选用形状修正系数和球形系数,难于做到准确,计算值常存在误差。表3-4-6列出一些学者用矿粒在水中实测出来的平均自由沉降末速度,供参考。
表3-4-4 规则形状颗粒的球形系数和形状修正系数

表3-4-5 各种形状颗粒的形状修正系数p

表3-4-6 矿粒在水中自由沉降的平均末速度( d—矿粒的粒度,mm,vo—沉降平均末速度,cm/s)


下一篇:砾磨的给矿及砾磨介质